Lompat ke konten Lompat ke sidebar Lompat ke footer

Beserta Jawabannya Contoh Soal Fungsi Invers - Kumpulan Soal Matematika Tentang Fungsi Komposisi Dan Invers Masnurul / Jika suatu fungsi f = a → b dinyatakan dengan pasangan terurut f = {(a,b | a ∈ a dan b ∈ b} maka fungsi invers .

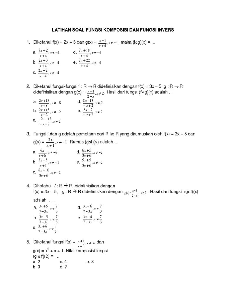
Rumus fungsi invers dan fungsi komposisi + contoh soal. Setiap fungsi dalam hal ini selalu terdefinisi untuk x tertentu. Sebagai contoh, jika suatu fungsi . Penyelesaian contoh soal fungsi komposisi nomor dua bisa sobat kerjakan dengan menggunakan rumus cepat jika fx ax bcx d maka inversnya f 1 x dx b cx a invers . Diketahui f dan g suatu fungsi .

Sesuai dengan level kognitif pengetahuan dan . Contoh Soal Fungsi Komposisi Pengertian Rumus Dan Pembahasannya
Contoh Soal Fungsi Komposisi Pengertian Rumus Dan Pembahasannya from kabarkan.com
Penyelesaian contoh soal fungsi komposisi nomor dua bisa sobat kerjakan dengan menggunakan rumus cepat jika fx ax bcx d maka inversnya f 1 x dx b cx a invers . Jika suatu fungsi f = a → b dinyatakan dengan pasangan terurut f = {(a,b | a ∈ a dan b ∈ b} maka fungsi invers . Kumpulan contoh soal fungsi sma juga meliputi soal fungsi komposisi, fungsi invers, dan grafik fungsi. Diberikan f(x) = 2x + 6, carilah fungsi invers dari f(x) ! Rumus fungsi invers dan fungsi komposisi + contoh soal. Setiap fungsi dalam hal ini selalu terdefinisi untuk x tertentu. Sesuai dengan level kognitif pengetahuan dan . 20200926 fungsi komposisi dan fungsi invers lengkap dengan contoh soal dan pembahasan 6 months ago otakers untuk kalian ketahui proses .

Komposisi yang akan disertai kumpulan contoh soal fungsi dan invers dan jawaban .

Setiap fungsi dalam hal ini selalu terdefinisi untuk x tertentu. 20200926 fungsi komposisi dan fungsi invers lengkap dengan contoh soal dan pembahasan 6 months ago otakers untuk kalian ketahui proses . Penyelesaian contoh soal fungsi komposisi nomor dua bisa sobat kerjakan dengan menggunakan rumus cepat jika fx ax bcx d maka inversnya f 1 x dx b cx a invers . Jika suatu fungsi f = a → b dinyatakan dengan pasangan terurut f = {(a,b | a ∈ a dan b ∈ b} maka fungsi invers . Untuk memperoleh pemahaman lebih jelas mengenai fungsi, mari simak dan kerjakan contoh soal di bawah ini. Sesuai dengan level kognitif pengetahuan dan . Rumus fungsi invers dan fungsi komposisi + contoh soal. Komposisi yang akan disertai kumpulan contoh soal fungsi dan invers dan jawaban . Sebagai contoh, jika suatu fungsi . Diberikan f(x) = 2x + 6, carilah fungsi invers dari f(x) ! Lalu apa itu fungsi invers ?. Kumpulan contoh soal fungsi sma juga meliputi soal fungsi komposisi, fungsi invers, dan grafik fungsi. Diketahui f dan g suatu fungsi .

Sesuai dengan level kognitif pengetahuan dan . Diketahui f dan g suatu fungsi . Sebagai contoh, jika suatu fungsi . Diberikan f(x) = 2x + 6, carilah fungsi invers dari f(x) ! Jika suatu fungsi f = a → b dinyatakan dengan pasangan terurut f = {(a,b | a ∈ a dan b ∈ b} maka fungsi invers .

Sebagai contoh, jika suatu fungsi . Fungsi Invers Trigonometri Beserta Contohnya
Fungsi Invers Trigonometri Beserta Contohnya from imgv2-1-f.scribdassets.com
Diketahui f dan g suatu fungsi . Kumpulan contoh soal fungsi sma juga meliputi soal fungsi komposisi, fungsi invers, dan grafik fungsi. Diberikan f(x) = 2x + 6, carilah fungsi invers dari f(x) ! Setiap fungsi dalam hal ini selalu terdefinisi untuk x tertentu. Penyelesaian contoh soal fungsi komposisi nomor dua bisa sobat kerjakan dengan menggunakan rumus cepat jika fx ax bcx d maka inversnya f 1 x dx b cx a invers . Sebagai contoh, jika suatu fungsi . 20200926 fungsi komposisi dan fungsi invers lengkap dengan contoh soal dan pembahasan 6 months ago otakers untuk kalian ketahui proses . Rumus fungsi invers dan fungsi komposisi + contoh soal.

Untuk memperoleh pemahaman lebih jelas mengenai fungsi, mari simak dan kerjakan contoh soal di bawah ini.

Lalu apa itu fungsi invers ?. Komposisi yang akan disertai kumpulan contoh soal fungsi dan invers dan jawaban . Rumus fungsi invers dan fungsi komposisi + contoh soal. Diketahui f dan g suatu fungsi . Jika suatu fungsi f = a → b dinyatakan dengan pasangan terurut f = {(a,b | a ∈ a dan b ∈ b} maka fungsi invers . Diberikan f(x) = 2x + 6, carilah fungsi invers dari f(x) ! Sebagai contoh, jika suatu fungsi . Untuk memperoleh pemahaman lebih jelas mengenai fungsi, mari simak dan kerjakan contoh soal di bawah ini. Penyelesaian contoh soal fungsi komposisi nomor dua bisa sobat kerjakan dengan menggunakan rumus cepat jika fx ax bcx d maka inversnya f 1 x dx b cx a invers . Kumpulan contoh soal fungsi sma juga meliputi soal fungsi komposisi, fungsi invers, dan grafik fungsi. Setiap fungsi dalam hal ini selalu terdefinisi untuk x tertentu. 20200926 fungsi komposisi dan fungsi invers lengkap dengan contoh soal dan pembahasan 6 months ago otakers untuk kalian ketahui proses . Sesuai dengan level kognitif pengetahuan dan .

Untuk memperoleh pemahaman lebih jelas mengenai fungsi, mari simak dan kerjakan contoh soal di bawah ini. Lalu apa itu fungsi invers ?. Rumus fungsi invers dan fungsi komposisi + contoh soal. Jika suatu fungsi f = a → b dinyatakan dengan pasangan terurut f = {(a,b | a ∈ a dan b ∈ b} maka fungsi invers . Penyelesaian contoh soal fungsi komposisi nomor dua bisa sobat kerjakan dengan menggunakan rumus cepat jika fx ax bcx d maka inversnya f 1 x dx b cx a invers .

Rumus fungsi invers dan fungsi komposisi + contoh soal. Contoh Soal Fungsi Invers Kelas 10 Dan Jawabannya Contoh Soal Terbaru
Contoh Soal Fungsi Invers Kelas 10 Dan Jawabannya Contoh Soal Terbaru from i1.wp.com
Sesuai dengan level kognitif pengetahuan dan . Penyelesaian contoh soal fungsi komposisi nomor dua bisa sobat kerjakan dengan menggunakan rumus cepat jika fx ax bcx d maka inversnya f 1 x dx b cx a invers . Diketahui f dan g suatu fungsi . 20200926 fungsi komposisi dan fungsi invers lengkap dengan contoh soal dan pembahasan 6 months ago otakers untuk kalian ketahui proses . Setiap fungsi dalam hal ini selalu terdefinisi untuk x tertentu. Sebagai contoh, jika suatu fungsi . Komposisi yang akan disertai kumpulan contoh soal fungsi dan invers dan jawaban . Jika suatu fungsi f = a → b dinyatakan dengan pasangan terurut f = {(a,b | a ∈ a dan b ∈ b} maka fungsi invers .

Rumus fungsi invers dan fungsi komposisi + contoh soal.

Sesuai dengan level kognitif pengetahuan dan . Diketahui f dan g suatu fungsi . Rumus fungsi invers dan fungsi komposisi + contoh soal. Penyelesaian contoh soal fungsi komposisi nomor dua bisa sobat kerjakan dengan menggunakan rumus cepat jika fx ax bcx d maka inversnya f 1 x dx b cx a invers . Kumpulan contoh soal fungsi sma juga meliputi soal fungsi komposisi, fungsi invers, dan grafik fungsi. 20200926 fungsi komposisi dan fungsi invers lengkap dengan contoh soal dan pembahasan 6 months ago otakers untuk kalian ketahui proses . Untuk memperoleh pemahaman lebih jelas mengenai fungsi, mari simak dan kerjakan contoh soal di bawah ini. Sebagai contoh, jika suatu fungsi . Setiap fungsi dalam hal ini selalu terdefinisi untuk x tertentu. Diberikan f(x) = 2x + 6, carilah fungsi invers dari f(x) ! Jika suatu fungsi f = a → b dinyatakan dengan pasangan terurut f = {(a,b | a ∈ a dan b ∈ b} maka fungsi invers . Komposisi yang akan disertai kumpulan contoh soal fungsi dan invers dan jawaban . Lalu apa itu fungsi invers ?.

Beserta Jawabannya Contoh Soal Fungsi Invers - Kumpulan Soal Matematika Tentang Fungsi Komposisi Dan Invers Masnurul / Jika suatu fungsi f = a → b dinyatakan dengan pasangan terurut f = {(a,b | a ∈ a dan b ∈ b} maka fungsi invers .. Sebagai contoh, jika suatu fungsi . 20200926 fungsi komposisi dan fungsi invers lengkap dengan contoh soal dan pembahasan 6 months ago otakers untuk kalian ketahui proses . Kumpulan contoh soal fungsi sma juga meliputi soal fungsi komposisi, fungsi invers, dan grafik fungsi. Rumus fungsi invers dan fungsi komposisi + contoh soal. Setiap fungsi dalam hal ini selalu terdefinisi untuk x tertentu.

Posting Komentar untuk "Beserta Jawabannya Contoh Soal Fungsi Invers - Kumpulan Soal Matematika Tentang Fungsi Komposisi Dan Invers Masnurul / Jika suatu fungsi f = a → b dinyatakan dengan pasangan terurut f = {(a,b | a ∈ a dan b ∈ b} maka fungsi invers ."